|
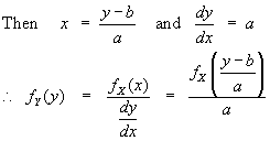
Example 1 Probability density function of a linear function of a random variable
Suppose,

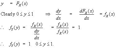
Example 2 Probability density function of the distribution function of a random variable
Suppose the distribution function of a continuous random variable is monotonically increasing and
one-to-one and define the random
variable .Then 
 |