Probability Concepts                                                                                                                     Print this page
<< Previous |  First | Last |  Next >>       


Basic results of probability


   From the above axioms we established the following basic results:


  1.     Suppose, 
        Then             
    Therefore              
    Thus    which is possible only if
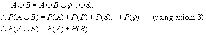
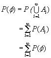
  2. If
    We have ,
                   
<< Previous |  First |  Last |  Next >>