Probability Concepts                                                                                                                     Print this page
<< Previous |  First | Last |  Next >>       


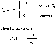
           Example 12    Consider  the two-dimensional Euclidean space. Let and represents the area under .

                           

           This example interprets the geometrical definition of probability.

<< Previous |  First |  Last |  Next >>