|
Classical definition of probability ( Laplace 1812)
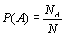
Consider a random experiment with a finite number of outcomes If all the outcomes of the experiment are equally likely , the probability of an event is defined by

where

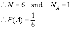
Example 6 A fair die is rolled once. What is the probability of getting a ‘6’ ?
Here and

|