Probability Concepts                                                                                                                     Print this page
<< Previous |  First | Last |  Next >>       


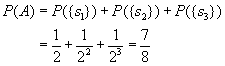
  Example 10 Consider the experiment of tossing a fair coin until a head is obtained discussed in Example 3. Here . Let us call

                                                      
           and so on. If we assign,  then Let is the event of obtaining the head before the 4 th toss. Then

                                                      

<< Previous |  First |  Last |  Next >>