Probability Concepts                                                                                                                     Print this page
<< Previous |  First | Last |  Next >>       


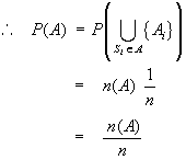
           For any event , we can define the probability

                                           

           In a special case, when the outcomes are equi-probable, we can assign equal probability p to each elementary event.

                                     
                                     

<< Previous |  First |  Last |  Next >>       
Untitled Document