Chapter 3   : Fabrication of CMOS Integrated Circuits

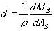
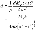
For this geometry: =, cos = h/r , r = (h2 + l2 )1/2 and in general :

For a point source, the equation becomes