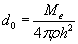
where do is the maximum thickness. For a surface source, the equation becomes and
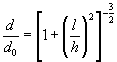
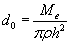
where do is the maximum thickness. For a surface source, the equation becomes
and