Next
Previous
Plane Electromagnetic wave

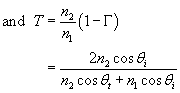
or ..........................(6.89)

..........................(6.90)