Next
Previous
Plane Electromagnetic wave

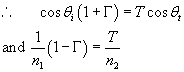
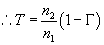
Further, from equations (6.86) and (6.87) we have

..........................(6.88)