Next
Previous
Plane Electromagnetic wave

From equation (6.90) we find that there exists specific angle for which = 0 such that

or .........................(6.91)

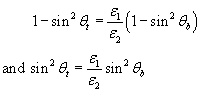
Further,                                           .........................(6.92)
For non magnetic material
Using this condition

.........................(6.93)