| |
|
|
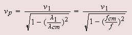
The phase velocity of a mode is |
| |
|
|
|
 |
---------- (6.25) |
|
where is the velocity of the uniform plane wave in the medium filling the region between the wave guide walls. |
|
|
|
Noting that the phase velocity can be written as |
| |
|
|
|
 |
---------- (6.26) |
|
|
|
It is clear from the expression that in general the phase velocity of a mode is a function of frequency except when the cut-off frequency is zero. This phenomena is called ' WAVE DISPERSION'. |
| |
|
|
In general, one can then say that the modal propagation on a wave guide is dispersive in nature. |
|
|
|
The group velocity of the mode is |
|
|
---------- (6.27) |
|
Typical plot for group and phase velocities is shown in figure below |
|
|
|
|
At the cut-off frequency the phase velocity approaches infinity whereas the group velocity approaches zero. That means the energy propagation seizes as the mode approaches cut-off. As the frequency increases both group and phase velocities asymptotically approach the velocity of the plane wave in the media. |
|
|
|
The figure below shows the typical velocity plot for different modes as a function of frequency. |
|
|