Unit step in terms of unit impulse function
Having studied the basic signal operations namely Time Shifting, Time Scaling and Time Inversion it is easy to see that

similarly,

Summing over we get

Looking directly at the Unit Step Function we observe that it can be constructed as a sum of shifted Unit Impulse Functions


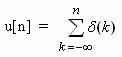
The unit function can also be expressed as a running sum of the Unit Impulse Function


We see that the running sum is
0 for n < 0 and equal to 1 for n >=
0 thus defining the Unit Step Function u[n]. 
|