b) Continuous time :

In order for a continuous LTI system to be causal, y(t) must not depend on x(v) for v > t . For this to be true h(t-v)’s corresponding to the x(v)’s for v > t must be zero.
This then requires the impulse response of a causal continuous time LTI system satisfy the following conditions :
![]()
As stated before in the discrete time analysis,the system output depends only on the past and the present values of the input.
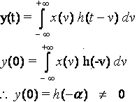
Proof : ( By contradiction )
Suppose,
there exists
>
0,
such that
h(-
)
0.
Now
consider
Since,
System is not
causal, a contradiction. Hence,
![]()