Consider figure (4.31) where two wave fronts at times are shown. At time the ray at a position . After a time interval of the light has moved a distance of Hence

Figure 4.31 Bending of a light ray in a stratified fluid medium due to refraction

where is the velocity of light in vacuum. There is a gradient in the refractive index along the direction. The gradient in n results in a bending of the wave front due to refraction. The distance is given by

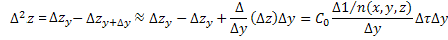
Let represents the bending angle at a fixed location. For a small increment in the angle, can be expressed as


In the limiting case
Hence the cumulative blending angle at any location along the axis is

|