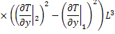
From Equation (12) the optical path length from A to B is

where is the average line integral of over the complete length Similarly the expressions represent average line integrals over the length The optical path length of the reference beam is simply

Hence the difference in the optical path length in the presence of refraction effects is the presence of refraction effects is



Where represents the average line integral of the temperature field along the direction of the ray at a given point on the fringe. The corresponding ray over the next fringe traverses an additional distance of . Hence this can be written as

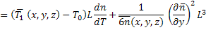
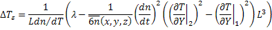
where represents the average line integral of the temperature field along the direction of the ray at a given point on the fringe. The successive temperature field along the difference between two fringes can be computed from
and the temperature drop per fringe shift is
|