Next
Previous

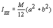
Because of symmetry,

Moments and Product of Inertia

To find Iyy :

Taking an element strip parallel to y axis, it can be easily shown that

Similarly,

Consider an element of size dxdy and thickness t ,