Next
Previous

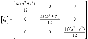
Moments and Product of Inertia

In the matrix form,