Next
Previous

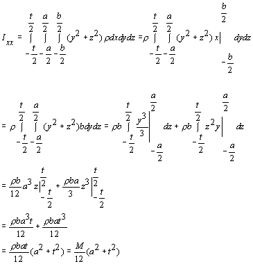
Moments and Product of Inertia

Mass of the element :