Module 5 : Linearised Flows

Lecture 30 : Supersonic flow over a cone

30.2 Mathematical Formulation for Supersonic flow over cone

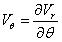
Consider Fig. 30.3. for the terminologies of the derivation in concerned with supersonic flow over cone. At any angular location in the flow field, the radial and normal components of velocity are Vr and Vθ, respectively. Understanding the flowfield around the cone necessarily means solving for the flowfield between the body and the shock wave by calculating these velocity components. Since the flow field is symmetric about the z axis all properties are independent of Φ.So,

Further, since we have assumed that the flow properties are constant along a ray from the vertex



Fig. 30.3: Schematic for terminologies regarding derivation for supersonic flow over cone.

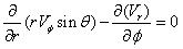
From the equation of continuity, we get


But, since the geometry is symmetric about the z axis and extends to infinity, the scale on the Z-axis can be neglected while considering the spherical co-ordinate system to analyze the problem. Hence the mass conservation equation can be witten as,







--------------------------(30.1)

This is the continuity equation for the axisymmetric flow over the cone.

For this axi-symmetric flow, there is increase in the entropy across the shock, but the change in entropy is zero in the region between the shock and the cone since post shock flow is isentropic, ,i.e,.Further, the flow in this region is steady and adiabatic, hence .Therefore, from Crocco's equation, ,we find that i.e., the conical flowfield is irrotational. Hence,

Applying the axisymmetric conical flow constaint as, and, we can get as

This simplifies the irrotatinality constaint to,

------------------------------(30.2)