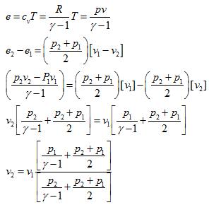
We can plot the Hugoniot curve for the known initial pressure-volume conditions for various pressure-volume conditions after normal shock. Hence Hugoniot curve, in principle, joins all the possible points on p-v plane starting from a known point on p-v plane. To generate such a plot we have to modify the Hugoniot equation by expressing the internal energy in terms of the pressure and volume as,

Using this expression, we can get all the possible values of v2 for given values P1, P2 and v1and hence we can plot the p-v diagram or Hugoniot curve for normal shock. The line joining initial point and any point on the curve specifies particular massflow rate and hence a particular freestream Mach number.

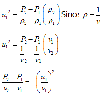
Now let’s try to understand the basics of normal shock in view of this Hugoniot relation. The expression for specific volume is a consolidated equation for normal shock conditions. If we have a normal shock condition due to supersonic velocity u1 , then as we know from eq. (8.2)
|
8.3 |
This expression gives the slope of a straight line joining two points of Hugoniot curve, mainly initial point and any other point on the Hugoniot curve on p-v diagram. These two points necessarily define the upstream and downstream locations of the normal shock respectively. Since this expression is for slope and is comprised of velocity and density (inverse of specific volume), this line necessarily corresponds to a particular mass flow rate.
Therefore if we know the mass flow rate and initial conditions we can easilty find out the post shock conditions. These conditions are given by point of intersection of Hugoniot curve and the straighline drawn from initial conditions with slope equation given by eq. (8.2).
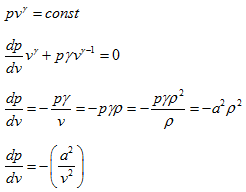
In the same figure Hugoniot curve is plotted along with isentropic curve for compression. These curves originate from the same point. Slope of curve representing isentropic compression can be calculated as,

This suggests that, at the initial condition is same for isentropic and Hugoniot curves. This means that the slope of both the curves is same at that point. This proves that, we have u1 = a1, M1 = 1 at the initial or starting point. Therefore for sonic flow there is no change in properties across the shock. As freestream Mach number increases u1 becomes greater than a1 and slope
Therefore slope of Hugoniot curve is more than the slope for isentroipc curve for supersonic flows. Hence the graph herewith provides an evidence for the fact that, although isentropic compression is efficient, compression by normal shock is more effective since compression by normal shock gives higher pressure rise for same change in specific volume. Hence shock can also be called as thermodynamic compressor.
