8.1 Hugoniot equation
Shock wave compression is an adiabatic and irreversible process; hence shock waves can be treated as irreversible adiabatic compressors. Let’s calculate the work required for this compression process.
![]() |
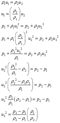
(Mass Conservation) |
8.1 |
Similarly
|
8.2 |
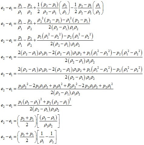
We know from the energy equation that,

Putting the expression for u1 and u2

The above equation is called as the Hugoniot equation which relates thermodynamic quantities across the normal shock. This relation is same as the first law of thermodynamics which states that internal energy change for an adiabatic process is equal to work done or pressure (average pressure in the present case) times change in specific volume.

