5.2 Speed of sound
Consider an acoustic wave moving in a stationary fluid with speed ‘a’. Poperties of fluid change due in the presence of the acoustic wave. These property variations can be predicted using 1D conservation equations. For simpliaty we can assume the acustic wave to be stationary and the fluid to be passing across the wave with velocity ‘a’.Consider the contol volume shown in Fig. 3.1. for understanding, central hatched portion can be exaggered as the acoustic wave. Let P, ρ and a be pressure, density and velocity ahead the acoustic wave respectively. Acoustic wave being a small amplitude disturbance, induces small change porperties while fluid passing across it. Hence the properties behind the acoustic wave are P+dP, in ρ+dρ and a+da pressure, density and velocity respectively. Application of mass conservation (5.1) and momentum conservation (5.2) equations beween inlet and exit stations of control volume, we get,
ρa = (ρ + dρ)(a + da)
P + ρu2 = (P + dP)+(ρ + dρ)(a + da)2
From mass equation ρa = ρa + ρda + adρ + dadρ
We will neglect dadρ since both are small quantities. Hence their product will be even smaller.
Therefore ρda + adρ = 0 and
|
5.4 |
From momentum equations we get,
p + ρa2 = (p + dp)+(ρ + dρ)(a2 + 2ada + da2)
neglecting
da2
p + ρa2 = (p + dp)+(ρ + dρ)(a2 + 2ada)
p + ρa2 = (p + dp)+(ρa2 + 2aρda + a2dρ + 2adadρ)
neglecting
2adads,
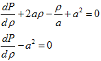
p + ρa2 = (p + dp)+(ρa2 + 2aρda + a2dρ)
0 = dp +
2aρda + a2dρ
Incorporating Eq. (5.4) in above equation, we get,

|
5.5 |
This is the general formula for acoustic speed or speed of sound.
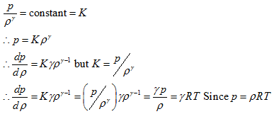
We can express the same in terms of bulk modulus or compressibility using the definition of the compressibility (τ) givein in section 1.4.3

Now this τ can be isothermal or adiabatic compressibility. However, changes in properties across sound wave are small and we have also not considered any dissipative effect like viscous effects, therefore we can treat the compressibility as the isentropic one. This proves that acoustic wave is isentropic (adiabatic reversible) in nature. Both the formulas derived for acoustic speed are valid for any state of matter. But if we consider gas then we can further simplify the expression as below.

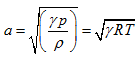
Since the flow is adiabatic

Therefore,
|
5.6 |
5.3. Definition of Mach number
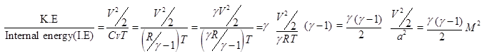
Mach number is defined as the ratio of the particle (local) speed to the (local) speed of sound.

Here, ‘V’ represents the speed of the fluid particle at a perticular instant at a perticular position and it is related to kinetic energy which is direct form of energy. Kinetic energy here is termed as directed energy since it has capacity to do work. If energy is present in random form then there is no capacity to do work. As ‘a’ represents acoustic speed and is
for gas, it clearly shows that, it is related to random velocity of molecule, obtained from kinetic theory of gases,
. Hence Mach number can be thought of as the ratio of directed energy to random energy. Essentially, ratio of kinetic energy (KE) and internal energy (IE) of the flow depicts the ratio of directed energy and random energy and it is function of Mach number.

This clearly shows that, in order to increase the Mach number we will have to either decrease the internal energy or increase the kinetic energy.

