11.2 Reference conditions for flows with heat addition
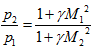
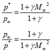
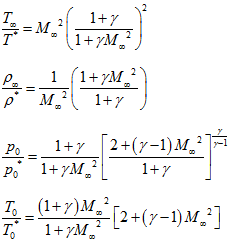
We have represented all the ratios in terms of upstream and down stream Mach numbers. If we consider a perticular case where heat addition leads to downstream Mach number eqaul to one or post heat addition Mach number is unity, then equations (11.2) to (11.6) can be written as,

Since M2 = 1 & p2 = p* & p1 = p∞ & M1 = M∞. Here flow properties after heat addition are the stared quantities due to unity of the local Mach number. Hence these quantities are of very much of importance since can be used as reference quantities.

Similarly

From all the ratios for 1D flow with heat addition, following conclusions can be drawn for supersonic and subsonic flows.
1. Addition of heat in supersonci flows
- Decreases Mach number
- Increases static pressure
- Increases static temperature
- Decreases total pressure
- Increases total temperature
- Decreases velocity
2. Addition of heat in subsonic flow
- Increases Mach number
- Decreases static pressure
- Increases static temperature if
and decreases if 
- Decreases total pressure
- Increases total temperature
- Increases velocity
Hence supersonic flow decelerates towards sonic value while subsonic flow accelerates towards the same due to heat addition. In a way, having a subsonic flow to start with we can keep on adding heat to reach sonic and then remove heat to attain required supersonic flow conditions. Exactly reverse procedure needs to be followed if given flow is supersonic and the target is to attain specified subsonic condition.
It had been shown that addition of heat in subsonic flow increases the static temperature till
and decreases afterwards. Main reason for this phenomenon is explained herewith. Addition of heat to subsonic flow increases the velocity and temperature initially for small amount of heat addition. Therefore both Kinetic energy (KE) and Internal energy (IE) of the flow increase due to externally added heat in subsonic flow. However for a given mass flow rate, rate of increase of KE is more than IE for given amount of heat addition. Therefore after particular amount of addition of external heat, it becomes impossible to increase IE (hence temperature) and KE (hence velocity) both keeping mass flow rate same. As a result beyond perticular amount of heat addition for a given mass flow rate condition, temperature (hence IE) decreases but velocity (hence KE) continues to increase. We can as well interprete the same phenomenon as, after certain critcal amount of heat addition in subsonic flow added external heat becomes insufficient to increase the velocity (hence KE) while keeping the mass flow rate same, hence required extra energy is supplied by the flow itself from its internal energy, by virtue of which temperature decrease though we add heat in subsonic flow.
From the above mentioned formulae for sonic conditions or ‘star’ properties, we can calculate total temperature of the sonic flow after heat addition from any given initial conditions and hence the amount of heat required to be added to reach sonic condition from any given initial conditions. The properties at this sonic conditions for a given mass flow rate remain indepandant of upstream or freestream Mach number. Therefore, we can use this concept or these properties as reference propertiesfor handling 1D flows with heat addition.
If the amount of heat added in the flow is more than the critical heat required to reach sonic conndition, then flow cannot accommodate this heat. The main reason for this fact is the anchoring of conditions after heat addition to sonic point. Hence to accomodate the added extra heat, upstream conditions of the flow change from supersonic to subsonic or from subsonic to lower subsonic for which the externally added heat is the heat required to reach sonic condition.