11.1 One dimensional flow with heat addition
Consider the control volume as shown in Fig. 11.1 for 1D flow with heat addition. The fluid flow of this kind is called as Raylaigh flow. Here station 1 is representative station before heat addition while station 2 is representative station after heat addition. This control volume is necessarily a constant cross-section pipe hence variation is the inviscid flow properties is expected in the direction of the flow due to addition of heat.

Fig.11.1: Typical Control volume for 1D flow with heat addition.
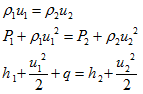
Assume the flow to be inviscid and steady between these two stations. Therefore the mass and momentum conservation equations (5.1 and 5.2) remain unaltered from the normal shock case but energy equation will have a term corresponding to external heat addition in comparison with equation (5.3). Hence the 1D conservation equations for flow with heat addition are as follows.

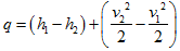
Here ‘q’ is amount of heat added per unit mass. Hence,
![]()
However, we know that

q = ho2 - ho1 = cp(To2 - To1) |
11.1 |
This equation suggests that change in total temperature takes place due to heat addition between two stations.
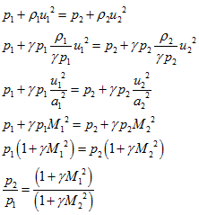
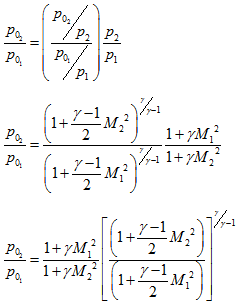
Lets represent the ratios of static and total properties in terms of upstream (station 1) and downstream (station 2) Mach number and specific heat ratio. Lets consider the momentum equation,
|
11.2 |
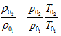
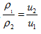
Also from ideal gas assumption

But ρ1u1 = ρ2u2
,
, Therefore,

Hence from Eq. (4.2) we get,
|
11.3 |
Therefore,
|
|
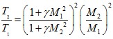
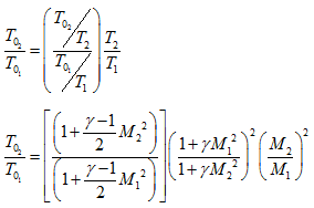
For ratio of total properties,
|
|
Similarly
|
11.6 |
From these two ratios we can find out
as





