|
(4.19) |
|
(4.20) |
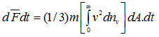
The change in momentum due to collisions of molecules at all speeds is then:
|
(4.21) |
which is equal to the average force dF multiplied by the time interval dt during which it acts (i.e., the impulse), or,
|
|
(4.22) |
The average pressure p exerted on the surface is given by:
|
(4.23) |
|
(4.24) |
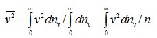
Let,
|
(4.25) |
which is the average value of the squares of the velocities of all molecules.
Therefore,
|
(4.26) |
Here,
|
(4.27) |



