The reason we have taken a minor diversion here is that we wish to know the techniques to "understand" how systems described by differential equations behave. For very simple systems like the one below:
It is clear that x=0 is an "equilibrium" solution of the system, since the LHS of the above equation equals zero at this value of x. In general, the behaviour of x, when its value at time t = 0 is x(0), is given by :

Verify that the above "solution" satisfies the differential equation. Note that the solution is in terms of a well known exponential function. If a > 0 , then the magnitude of x(t) keeps increasing with time if x(0) is not zero. On the other hand, if a<0, then x(t) tends to go to zero as time progresses. Thus we are able to gain an insight into the behaviour from the solution given above.
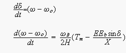
However it turns out that for many systems, it is not possible to write down the solution in terms of well understood simple functions. This occurs when the RHS of the differential equations have terms which are non-linear or time variant functions of the variables. For example, the behaviour of rotor angle and speed deviation for a synchronous machine is described by the non-linear differential equations:
To understand the behaviour of such a system, one has to turn to the numerical solution of these equations. |