Some decision properties of Regular Languages
Print this page
First   |   Last   |   Prev   |   Next

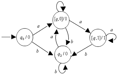
Example: 4 The Moore machine which is equivalent to the Mealy machine given is example 2 is shown below.

                         

The states [q1,0] & [q1,1] an be renamed as q1 & q3 respectively.

First   |   Last   |   Prev   |   Next