Some decision properties of Regular Languages
Print this page
First   |   Last   |   Prev   |   Next
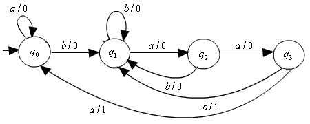
 Example 3 : The equivalent Mealy machine for the Moore machine given in example 1 is produced below.              

                

 

                                

  

l;;First   |   Last   |   Prev   |   Next