Rate of capillary rise
The concept of capillary rise in unsaturated soils was described in the earlier modules. The rate of capillary rise can be appreciated after going through the flow through unsaturated soils in this module. Terzaghi in his infamous work (1943) provided a simple relationship for rate of capillary rise in soils. Terzaghi assumed that Darcy's law is valid for describing the steady flow through unsaturated soils which can be expressed as
![]()
where the hydraulic conductivity of the wetting front is assumed to be described by k s . Further, the gradient is assumed to be
where hc is the capillary rise as shown in the following figure # .
###
Therefore, the discharge flux becomes
![]()
or
![]()
solving the equation for z results,

which can be simplified to

Therefore,
![]()
where c is the constant of integration. The constant can be obtained by substituting the initial condition (i.e., t = 0 and z = 0) which is
............................................................................(5.18)
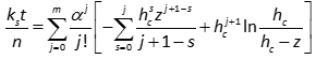
which is an implicit expression describing the rate of rise. However, the assumption of using ks for unsaturated conductivity causes the predicted rate of capillary rise a higher value. If we assume Gardner's (1958) expression for describing the hydraulic conductivity function the following closed-form expression can be obtained (Lu and Likos, 2004)
....................................................(5.19)
which assumes the Terzaghi's equation if the index m is set to zero.