Module 5 : Flow through unsaturated soils

Lecture 2: Flow through unsaturated soils (II)

 

 

Vertical steady state flow

The driving force for vertical flows in unsaturated soils is the combination of gravity and the suction head. The gravity, therefore, has a subsequent influence on the spatial distribution of the suction head. In case of one-dimensional vertical flow the governing flow equation can be written as

.................................................................................(5.14)

where z is the spatial distance. The suction head distribution can be obtained by rearranging the terms as

........................................................................................(5.15)

Integration of the equation Eq. (5.10) and substitution of the boundary conditions: hm = 0 at z = 0 and hm = h at z = Z gives

.....................................................................(5.16)

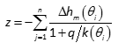
which can be solved to obtain the profiles of the matric suction head, hm , or total head if the steady flux q , the soil-water characteristic curve, and the hydraulic conductivity function are known. The solution can be obtained numerically if we write the above equation in discrete form as shown in the following equation

..............................................................................(5.17)

where n is the number of discrete data points selected from the SWCC and hydraulic conductivity function.