Module 4: Discrete probability distributions

Lecture 15 : Bernoulli and Binomial distributions

 

 

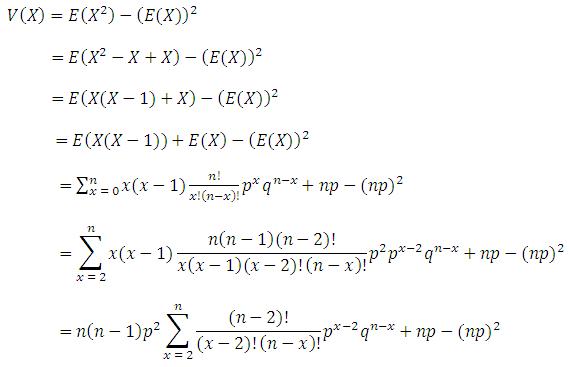
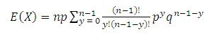
And letting y = x – 1

Since the summation in the above equation is equals to unity,

Variance of a binomial variable

Since the summation in the above equation is equals to unity,

The Bernoulli distribution is a particular case of binomial distribution when n=1.

Applications of Binomial distribution

In modeling the driver behavior, intersection turning movements, and in speed studies this distribution is used. This has several applications in other fields of civil engineering, such as the probability of occurrence of peak floods greater than the design peak flood in a particular time period, probability of peak ground acceleration exceeding certain design value in a given time interval etc.

For example, if the probability of a vehicle turning left at an intersection is 0.15 then the probability of 3 vehicles out of 10 vehicles turning left equals to,

10C3 (0.15)3 (0.85)7 =0.130

In the above example, a specific vehicle turning left or not is a Bernoulli trial and it is assumed that the arrivals of individual vehicles at the junction are independent events.

Problem

Concrete block pavements are widely being used in parking lots, footpaths, and other public places. These blocks must have minimum strength and are manufactured accordingly. Due to the variations in the mix proportions all the blocks may not satisfy the strength requirements. When a strength test is conducted on this block it may fail or pass the test and this may be considered as Bernoulli trial. From many tests it has been observed that the probability of failure is 0.05. When a sample of 20 cubes are taken what is the probability of having exactly 2 cubes that may fail in the test?

Probability of passing the strength test, p = 0.95

Failing the test, q = 0.05

n = 20

Since a test on the concrete block is a Bernoulli trial the sequence of Bernoulli trials are assumed to follow binomial distribution. (It is assumed that the probability of failing/passing the test remains same for all the blocks)

Probability of having two cubes failing in the test is equivalent to probability of 18 cubes passing the test, then,