Module 4: Discrete probability distributions

Lecture 15 : Bernoulli and Binomial distributions

 

 

Discrete probability distributions

If the experimental outcome or the data from the natural processes takes on finite number of values, the data may fit into any of the following discrete distributions. Some of the most frequently used discrete distributions in Civil Engineering applications are discussed in the following sections.

The Bernoulli distribution

The Bernoulli distribution applies to the experiments that have only two possible outcomes, often a “success” S and a “failure” F. Tossing a fair coin, fair or unfair, is a Bernoulli trial. In any trial the probability of success, p, and the probability of failure, q, is given by the following equation;

p[F] = q = 1 – P[S] = 1- P

The probability mass function for a Bernoulli random variable is;

p(x) = px (1-p)1-x for x= 0, 1 and 0 ≤ p ≤ 1

p(x) = 0 otherwise.

In the special case when the success is coded as 1 and the failure as 0, then:

The mean of a Bernoulli variable is,

Variance of a Bernoulli variable is

Probability mass function for a Bernoulli random variable with n=25 and p = 0.2 is shown in Figure 4.1.

Applications

Though direct applications of Bernoulli distribution are not there, the distribution forms taken up by the sequence of Bernoulli trials have several applications in Civil Engineering. Some of them are discussed in the following sections.

Figure 4.1: Probability mass function of a Binomial random variable with n=25 and p 0.2

The Binomial distribution

The binomial distribution expresses the probability of x successes in a sequence of n independent Bernoulli trials.

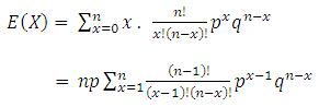
The mean and the variance of the binomial distribution are:

Mean of a binomial variable