Module 3: WELL HYDRAULICS

Lecture 16 : Solution of steady flow problem of confined and unconfined aquifer

 

Now consider the Fig. 16.1.

Putting it in equation (16.9)

                                                         (16.10)

And,

                                                            (16.11)

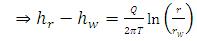
From these two equations, we have

                                   (16.12)

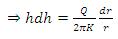
                                                  (16.13)

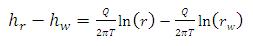
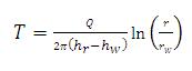
Knowing hydraulic head at the well, the equation (16.13) can be used to calculate steady state hydraulic head for any values of r. This equation can also be used for estimation of aquifer transmissivity. For calculating aquifer transmissivity, the equation can be written as,

                                                         (16.14)

Unconfined aquifer

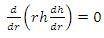
In case of steady flow in unconfined aquifer, the flow equation becomes

Or,                                                                 (16.15)

Or,                                                                    (16.16)

Integrating,                                                (16.17)

Or,                                                                         (16.18)

Now, Darcy's law can be expressed as

                                    (16.19)

Therefore, the equation (15.18) can be written as

                                                                              (16.20)

                                                                      (16.21)

Now integrating, we have

                                                                 (16.22)

                                                            (16.23)

                                                              (16.25)