In this lecture we will obtain the solution of the steady state flow problem in confined and unconfined aquifer.
Confined aquifer
In case of steady flow in confined aquifer, the flow equation becomes
Or, (16.1)
Or, (16.2)
Integrating, (16.3)
Or, (16.4)
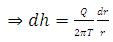
Now, Darcy's law can be expressed as
(16.5)
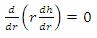
Therefore, the equation (16.4) can be written as
(16.6)
(16.7)
Now integrating, we have
(16.8)
(16.9)

-
Fig. 16.1: Confined aquifer