Module 1 : Engineering Economics

Lecture 7 : Arithmetic gradient

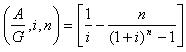
Similarly the annual worth factor of a uniform gradient series can be obtained by multiplying the uniform gradient future worth factor (UGFWF) with the sinking fund factor (SFF) and the functional representation is presented as follows;

(33)

is known as the uniform gradient annual worth factor (UGAWF).

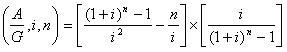
Thus the expression for the uniform gradient annual worth factor is obtained by putting the expressions for uniform gradient future worth factor (UGFWF) and sinking fund factor (SFF) in equation (33) and is given as follows;

(34)


(35)

The expression of the equivalent uniform annual worth ‘A' of the uniform gradient series can be written as follows;

The cash flow diagram is shown in Fig. 1.17. It may be noted here that, the equivalent uniform annual worth ‘A' occurs from end of year ‘1' to end of year ‘n' whereas the gradient starts at the end of year ‘2'.

Fig. 1.17 Cash flow diagram involving a uniform gradient with ‘unknown A'