Module 1 : Engineering Economics

Lecture 7 : Arithmetic gradient

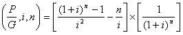
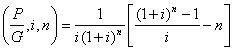
The present worth factor of a uniform gradient series (i.e. arithmetic gradient series) with values in multiples of gradient amount ‘G' can be obtained by multiplying the uniform gradient future worth factor (UGFWF) with the single payment present worth factor (SPPWF) and the functional representation is given as follows

(30)

is known as the uniform gradient present worth factor (UGPWF).

Now putting the expressions for uniform gradient future worth factor (UGFWF) and single payment present worth factor (SPPWF) in equation (30) results in the following expressions;

(31)

On further simplification results in the following equation;

(32)

Thus the expression of the present worth ‘P' can be written as follows

The cash flow diagram is shown in Fig. 1.16. It may be noted here that the gradient starts at the end of year ‘2' whereas the present worth occurs at the beginning i.e. in year 0.

Fig. 1.16 Cash flow diagram involving a uniform gradient with ‘unknown P'