Photosystems:
The thylakoid membrane consists of both photosystem I (PS I) and photosystem II (PS II). Inside the thylokoid membrane it is called thilokoid lumen and outside is called chloroplast stroma.
Figure 7.6. Representation of photosystem present in thilokoid membrane of chloroplast.
PS I optimally absorbs photons of a wavelength of 700 nm, and because of the wavelength it is denoted as P700. While, PS II optimally absorbs photons of a wavelength of 680 nm and hence, known as P680. PS II uses light energy to oxidize two molecules of water into one molecule of molecular oxygen. The 4 electrons removed from the water molecules are transferred through plasto quinine and cytochrome bf to PS I ultimately reduce 2NADP+ to 2NADPH. This electron transport process generates a proton gradient across the thylakoid membrane. This proton motive force is then used to drive the synthesis of ATP from ADP.
The overall reaction;

Dark reaction means the reaction that does not need the presence of light mandatorily .
Herein, the water oxidation for the generation of molecular oxygen will be discusses.
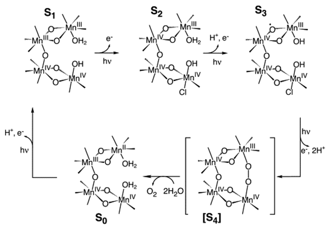
Production of O2 in plants:
Production of O2 by the oxidation of H2O in green plants takes place in PS II.
![]()

Figure 7.7. Simplest representation of P680.
P680 contains Mg2+ coordinated to a prophyrin unit. It absorbs light of 680 nm wavelength and goes to its excited state (P680*). It transfer an electron to pheophytin α and becomes P680+ which is a strong oxidizing agent. It oxidizes water to oxygen where water molecule is bound to a tetranuclear Mn4 cluster.
One of the proposed mechanism is shown below,
