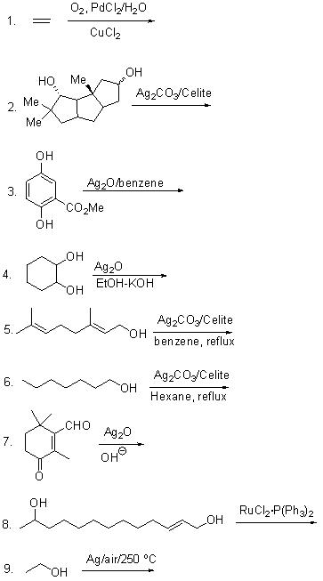
Problems
For the reactions given below write the major products.
Text Books
V. K. Ahluwalia, R. K. Parashar, Organic Reaction Mechaninisms , Narosa, New Delhi, 2002.
M. B. Smith, Organic Synthesis , 2nd Ed., McGraw Hill, New York, 2004.
Module 1 : Oxidation Reactions
Lecture 9 : Problems
Problems
For the reactions given below write the major products.
Text Books
V. K. Ahluwalia, R. K. Parashar, Organic Reaction Mechaninisms , Narosa, New Delhi, 2002.
M. B. Smith, Organic Synthesis , 2nd Ed., McGraw Hill, New York, 2004.