Module 6 : Aromatic Nucleophilic Substitution

Lecture 15 : Aromatic Nucleophilic Substitution

6.3 Displacement of Other Anions

6.3.1 Halides

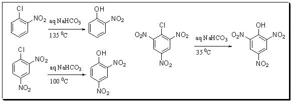
T he reactivity of halide increases with increase in number of electron withdrawing groups (Scheme 1). For examples, the reactivity of chlorobenzene having nitro groups towards aqueous NaHCO3 follows:

However, m -nitrochlorobenzene does not undergo similar reaction:

Mechanism