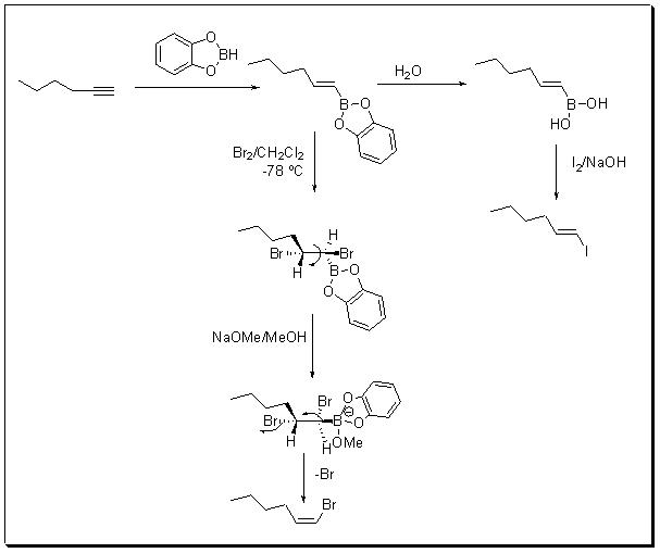
Module 10 : Phosphorus-Containing Compounds

Lecture 26 : Boron Containing Compounds

The carbonylation sequence can be modified to give aldehydes and primary alcohols (Scheme 11).

Scheme 11

10.4.2.4 Conjugate Addition

Alkylboranes proceed conjugate addition with α,β -unsaturated aldehydes and ketones (Scheme 12). The alkyl group of the borane undergoes 1,4-addition and boron is transferred to the oxygen, providing a boron enolate that on hydrolysis yields the product.

Scheme 12

 

10.4.2.5 Allylation to Carbonyl Compounds

The reaction of allylboranes with carbonyl compounds has been well explored. Several studies have focused on asymmetric version of the process with excellent enantioselectivity. For example, the reaction of (-)- β -allyl(diisopinocampheyl)borane with propiolaldehyde gives hex-5-ene-1-yn-3-ol with 90% ee after the oxidation (Scheme 13).

Scheme 13

Scheme 14