Effect of Magnetic Field
Critical magnetic field (HC ) – Minimum magnetic field required to destroy the superconducting property at any temperature
H0 – Critical field at 0K
|
![]() |
Module 2 : Systems under technological importance
Lecture 16: Superconducting Materials
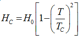
Effect of Magnetic Field
Critical magnetic field (HC ) – Minimum magnetic field required to destroy the superconducting property at any temperature
H0 – Critical field at 0K
|
![]() |