Thus the sum over point charges is converted to the neutralization distribution and the interaction between the charges.

Figure 13: Gaussian Distribution function(real space) cancelling out via cancelling charge distribution(reciprocal space)(Adapted from Leach,2001)
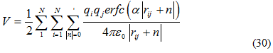
The dual summation is now given by:

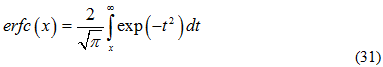
The prime on the third summation indicates that the series excludes the interaction of i=j for n=0.Here the error function is given as:

Here the summation containing the error function converges very fast and quickly and is usually close to zero beyond the cut-off radius. The rate of the convergence depends on the width of the Gaussian distribution i.e wider the width, faster it converges. So now a second chare distribution is added so as to oppose the first neutralizing distribution. The contribution term takes the following form and is performed in the reciprocal space.