Module 1 : Ab-initio Methods

Lecture 2 : Shrodinger Wave Equation for Polyelectron system

1.5 The Helium Atom

For the helium atom, our objective is to find a wavefunction that  describes the behaviour of the electrons. As per  Born-Oppenheimer approximation  the wavefunction will be a  function of the two electrons (which we shall label 1 and 2 with positions in space r2and r2).  For polyelectronic systems any solution we find can only ever be an  approximation to the true solution. There are a number of ways in which approximate  solutions to the Schrodinger equation can be found. One approach is to find a simpler  but related problem that can be more easily solved and then consider how the differences  between the two problems change the Hamiltonian and thereby affect the solutions. This is  called perturbation theory and is most appropriate when the differences between the real  and simple problems are small. For example, a perturbation approach to tackling the  helium atom might choose as the related system a 'pseudo atom', containing two electrons that interact with the nucleus but not with each other. Although this is a 'three-body'  problem, the lack of any interaction between the electrons means that it can be solved  exactly using the method of the separation of variables. The separation of variables
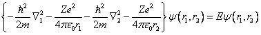
technique can be applied whenever the Hamiltonian can be divided into parts that are  themselves dependent solely upon subsets of the coordinates. The equation to be solved in this case is:

(1.11)

In atomic units:

(1.12)

The equation thus takes the form:

(1.13)

Here H1 and H2  are the individual Hamiltonian for electrons 1 and 2. We can write the wavefunction of the system as the system of two wavefunction or Hamiltonian  (each of one electron) that depends only on the coordinates of the particular electron i.e Φ1(r1) and Φ2(r2):

.

Thus we can write it as:

(1.14)

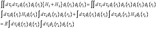
Premultiplying by  and integrating over all space gives:

(1.15)

If the wavefunctions are normalized then it can be easily be seen that the total energy E is the sum of individual orbital energies E1 and E2 .

(1.16)

Now let us derive a relation for the two electrons in the pseudo helium atom.To make things easier let us consider only the spatial part of the wavefunction.We assume each wavefunction of the system to be the product of individual one-electron solution. Ignoring electron-electron repulsion, we can simply assume the total energy as the sum of one-electron orbital energies. So the wavefunction corresponding to each of the two electrons in 1s orbital is                                                          
                                                            1s(1) 1s(2)