Module 3 : Design of Evaporator

Lecture 3 : Thermal Design Calculation

 

The calculation steps can be summarized as follows

1.  Initially temperature in each effect is estimated. To make this estimation, it is assumed that the heat transfer area in all effects is equal. This leads to:

 

                                                  (3.8)

Determine the overall temperature drop between the steam in the 1st effect and the saturation temperature of the last effect (considering the BPE in all effects).

                                (3.9)

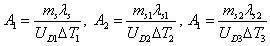
where,                      (3.10)

2. Calculate the total amount of solvent vaporized from the feed and product concentration and feed flow rate. It is assumed that heat transfer rate in each effect is roughly equal. This signifies that the rates of vaporization in each effect are also roughly equal. Calculate the approximate vaporization rate in each effect (it is one-third of total amount of solvent vaporized in one effect in case triple effect system). Calculate the concentration in each effect and find out the BPE in each effect. Then calculate the overall temperature drop ().

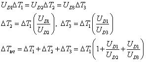
3.  Redistribute the overall temperature drop () among the all the effects. Since the areas are the same (), the temperature difference in each effect is roughly proportional to the overall transfer coefficients.

                        (3.11)

Thus, calculate , and .
4.   Use the calculated value of, and and the composition estimated to calculate the enthalpy values. The same reference temperatures for enthalpy must be used for all streams, including those taken from steam tables, etc. Solve the enthalpy balance equation sequentially to find out , and .

5.  Use heat transfer equations to calculate the heat transfer area for each effect.

                        (3.12)

6. Compare the areas calculated. If they are not equal, repeat the calculation. Using the areas obtained to revise the temperature estimates. The recommended approach is to use the ratio of the calculated heat transfer area for an effect to the arithmetic mean of the calculated areas as shown:

                                                          (3.13)

Repeat the calculations until the area of each effect is equal.

The procedure above discussed is applicable for forward feed evaporators. The energy balance equation can developed accordingly for backward feed system. Here also the area for each effect is considered to be equal.

The heat transfer area required to obtain the product purity from a specified feed is illustrated in the next example for forward feed evaporator system.