Module 1 : Process Design of Heat Exchanger

Lecture 5 : Shell and Tube Exchanger for Two Phase Heat Transfer

    

 

Calculation of shell-side heat transfer coefficient (condensing film heat transfer coefficient) (ho): The Kern method is discussed here to calculate the individual heat transfer co-efficient of the condensing fluid by trial and error calculation.

i. Assume, ho(assm) in the range from 100 to 300 BTU.h-1.ft-2.°F-1. The film coefficient of condensing hydrocarbons generally varies in this range. Air-free condensing steam has a coefficient of 1500 BTU.h-1.ft-2.°F-1.

 

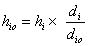
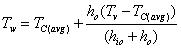
ii. Calculate the tube wall temperature ( Tw ):

                                                                                           (1.11)  

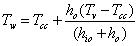
or

                                                                                                       (1.12)  

Where, ( di tube ID and do tube OD)

= Average temperature of the cold fluid

Tcc =Calorific temperature of the cold fluid

 

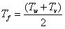
iii. Calculate condensate film temperature,                                                    (1.13)  

Tv =Condensation temperature (For pure fluid compound Tv is the saturation temperature. Average of condensation over a temperature range also can be used for non-isothermal condensation).

 

iv. Calculate all thermophysical property of the condensing fluid at film temperature ( Tf ).

v. Recalculate, ho(cal) from jH factor.

Now again set, ho(assm) = ho(cal) and continue the calculation till ho(assm)ho(cal).

 

vi. Calculate the overall heat transfer-coefficient ( Ud ) including the dirt factors.