Module1 : Process Design of Heat Exchanger

Lecture 3 : Process (Thermal) Design Procedure

 

 

1.3. Process (thermal) design procedure

 

Shell and tube heat exchanger is designed by trial and error calculations. The main steps of design following the Kern method are summarized as follows:

Step #1. Obtain the required thermophysical properties of hot and cold fluids at the caloric temperature or arithmetic mean temperature . Calculate these properties at the caloric temperature if the variation of viscosity with temperature is large. The detailed calculation procedure of caloric temperature available is in reference [3] (page 93-99) .

Step #2. Perform energy balance and find out the heat duty (Q) of the exchanger.

Step #3. Assume a reasonable value of overall heat transfer coefficient (U o,assm ). The value of (U o,assm ) with respect to the process hot and cold fluids can be taken from the books ([3] page 840 Table 8; [4] page 297 Table 8.2.)

Step #4 . Decide tentative number of shell and tube passes (np). Determine the LMTD and the correction factor FT­ ([3] page 828-833 Figs. 18-23; [4] page 292 Figs. 8.10a & 8.10b). FT normally should be greater than 0.75 for the steady operation of the exchangers. Otherwise it is required to increase the number of passes to obtain higher FT values.

Step #5 . Calculate heat transfer area ( A ) required:           (1.1)

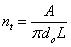
Step #6 . Select tube material, decide the tube diameter (ID= di, OD =do ), its wall thickness (in terms of BWG or SWG) and tube length (L). Calculate the number of tubes (nt) required to provide the heat transfer area ( A ) calculated: .                                                        (1.2)

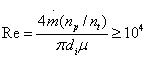
Calculate tube side fluid velocity, .                                                           (1.3)

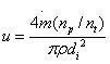
If u <1 m/s, fix np so that, .                                                          (1.4)

where m, ρ and μ are mass flow rate, density and viscosity of tube side fluid. However, this is subject to allowable pressure drop in the tube side of the heat exchanger.