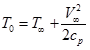
The thermocouple is a simplest device for performing stagnation temperature measurements of high speed gaseous streams in a compressible flow (Fig. 7.5.1). The thermocouple located at the wall surface lies inside the viscous boundary layer at a fixed wall (Fig. 7.5.1-a). Due to viscous effects, no-slip conditions need to be satisfied at the wall and the flow velocity is zero at the wall surface. At the same time, if the wall surface is insulated, then the temperature measured at the wall is called as adiabatic wall temperature
. Another method is to design a probe which is inserted into the flow by minimizing the obstruction (Fig. 7.5.1-b). It consists of a diffuser which decelerates the velocity to a low value so that the fluid reaches the stagnation state at the thermocouple location. If sufficient care is made for suitable design of the probe, then it represents a thermodynamic state where the gas comes to rest isentropically (i.e. no heat exchange between the probe and surroundings). Then, the probe indicates the stagnation temperature
given by the following isentropic expression;
![]() |
(7.5.1) |
where,
is the specific heat of the fluid at constant pressure,
are the velocity and static temperature of the free stream fluid, respectively.
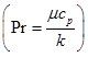
From, aerodynamic point of view, when the gas passes over the probe, a boundary layer is likely to be formed due to velocity and temperature gradient. The velocity gradient gives rise to shear stress resulting in fluid friction and heat dissipation within the boundary layer. So, the probe will feel a temperature above the stagnation temperature. At the same time, the temperature gradient in the boundary layer gives rise to heat loss from the probe. The net effect of these two phenomena has an opposite trend to cancel each other. The non-dimensional parameter, Prandtl number
, representing the ratio of shearing effects to the heat transfer effects is taken into account in the calculation of gas temperature. Since, the Prandtl number for the gases is less, the heat conduction from the probe surface dominates and the probe generally feels the temperature less than the stagnation temperature
. At the same time, if the probe is properly insulated and there is no heat exchange through conduction by stem and radiation, then the probe temperature will be the adiabatic wall temperature
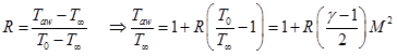
. This deviation in the probe reading and isentropic stagnation temperature is expressed by adiabatic recovery factor
.
![]() |
(7.5.2) |
Here, the stagnation to static temperature ratio
is obtained from isentropic relation. When the Prandtl number is unity, the adiabatic wall temperature becomes equal to stagnation temperature. The adiabatic recovery factor expressed in Eq. (1) applies to the case when the Prandtl number is not unity. In most cases, it is always less than 1 and is related to adiabatic recovery factor as given below;
![]() |
(7.5.3) |
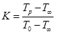
With respect to measurement limitations, another deviation may arise if the probe protrudes into the flow. Here, there are possibility of heat exchange through conduction by the stem of the probe and radiation from the probe. So the temperature measured by the probe is
instead of
. To account this fact, a correction factor
is introduced, which is defined by the following equation.
(7.5.4) |


