·
PROBLEM 2: An airfoil of chord length 2m and of span is 14m has an angle of attack as 60. The velocity of moving airfoil as 100m/s in air with density is 1.225Kg/m3. Take the
Co-efficient of lift and drag are as 05 and 0.03 respectively. Calculate the weight of the airfoil and power required to drive it.
SOLUTION:
Weight of the airfoil =Lift force= ![]()

Drag force is
![]()

Power required to drive the airfoil is = ![]()
PROBLEM 3: A uniform flow of 15m/s is flowing over a doublet of strength20m2 /s.The doublet is in the line of flow. The polar co-ordinates of a point p in the flow field are 0.9 and 300. Find a) Stream line function (b) the resultant velocity at the point
SOLUTION:
Given that
Doublet of strength ยต=20m2 /s
Velocity of uniform flow U=15m/s
The polar co-ordinates of a point p at which r= 0.9 and θ=300
Radius R of the Rankine circle is ![]()
(a)The value of stream function at point p is

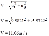
(b) the resultant velocity at the point P
The radial velocity at the point p is

Positive sign shows the radial velocity is outside
The tangential velocity at the point P is

Negative sign shows the clock wise direction of tangential velocity
Therefore resultant velocity is
