1. What do you meant by a stream function?
2. State and express the mathematical equation for the following terms
3. Streamline b) path line c) streak line
4. Will the streamline pattern for given boundary form always changes if flow is unsteady?
5. Differentiate between stream function and velocity potential function?
6. Explain uniform flow with source and sink. Obtain expressions for stream function and velocity potential function
7. What is doublet? And define the strength of the doublet
8. Show that, the stream lines and equi-potential lines are orthogonal in nature.
9. Define circulation. Prove that the circulation for a free vortex of radius R is given by
![]()
10. Distinguish between a source and a sink.
11. Draw the flow pattern of an ideal fluid past a cylinder with circulation.
12. Define the following terms: a)Lift b)Drag c)Coefficient of lift d)Coefficient of drag, and
Obtain the mathematical expressions for lift and drag
13. Prove that the co-efficient of lift for airfoil is given by
,If the circulation produced on the airfoil=
, where
= angle of attack
14. State and explain the terms; a) Friction drag b) Profile drag c) pressure drag
15. write down the expressions for stream and velocity potential function for a doublet is placed in a uniform flow
16. What are the characteristics of flow where the stagnation and separation would occur?
17. In what ways can the separation of flow be avoided
18. What is Robins-Magnus effect?
19. What is drag? what causes it? Why do we usually try to minimize it?
20. What is the difference between skin friction drag and pressure drag? Which is usually more significant for slender bodies such as airfoils?
SOLVED PROBLEMS
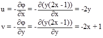
PROBLEM 1: In a two dimensional flows the velocity potential flow is ![]()
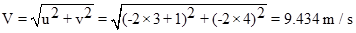
. At a point P (3, 4) Calculate:
- (i) The velocity
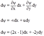
(ii) The value if stream function
SOLUTION:
The velocity components in x and y directions are

The resultant velocity is equal to
![]()
At the point P (4, 5), when x=4 and y=5
![]()
The value of stream function at the point P (3, 4) is

Integrating both sides we get
![]()
At the point P (3, 4)
Units